Daca sunteti martorul unor evenimente importante va rugam sa ne contactati la tel: 0749.877.802 sau email: [email protected]

anl

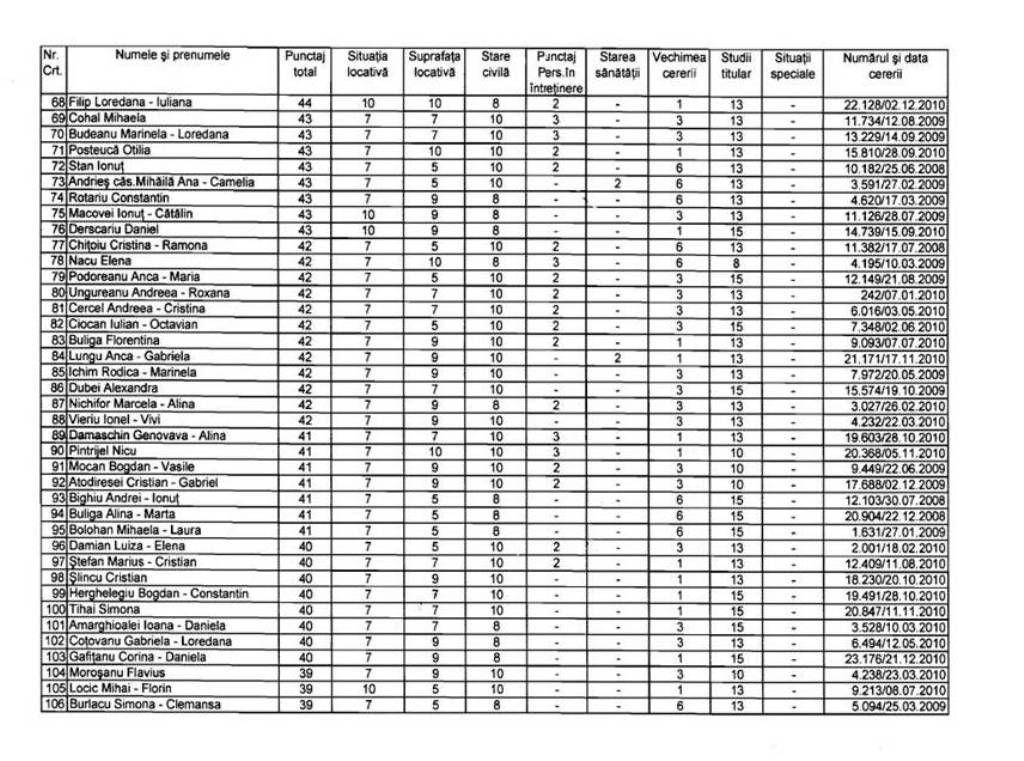
Comisia de analiză, evaluare şi întocmirea listei de priorităţi pentru solicitările de locuinţe, pentru tineri construite în regim ANL, numită prin Hotărârea Consilului Local (HCL) nr.9 din data de 27.01.2011, în cadrul şedinţei de lucru din data de 12.07.2011, a procedat la finalizarea analizării dosarelor depuse în vederea atribuirii unei locuinţe ANL pentru anul 2011.
   
Cererile supuse discuţiei sunt cele depuse până la data de 31.01.2010. În acest sens au fost evaluate un număr de 148 de dosare dintr-un total de 149 deoarece un dosar a fost înaintat către Direcţia de Asistenţă Socială, urmând să fie evaluat în anul 2011, motivat de faptul că, a fost depus după data de 31.12.2010. Până la data de 31.12.2010 au fost depus un număr de 454 cereri.
   
Un număr de 305 cereri nu au putut fi evaluate datorită faptului că solicitanţii de cereri nu au depus dosare în vederea atribuirii unei locuinţe în regim ANL, înaintată cu confirmare de primire fiecărui solicitant.
   
În urma evaluării au rezultat un număr de 128 de dosare a căror solicitanţi au îndeplinit criteriile de acces la locuinţă (criterii de acces aprobate prin HCL, nr.28 din data de 29.01.2009 şi avizate favorabil de Ministerul Dezoltării, Lucrărilor Publice şi Locuinţelor, Direcţia de Programe Construcţii Locuinţe, prin adresa înregistrată la Primăria Municipiului Dorohoi cu nr.20812/19.12.2008) şi un număr de 20 de dosare a căror solicitări nu au îndeplinit criteriile de acces la locuinţă.
   
Punctajele obţinute de către titularii care au depus dosare în perioada 21.03.2011-11.04.2011 sunt cuprinse între 59 de puncte şi 34 de puncte.
   
Lista de priorităţi a solicitanţilor de locuinţă în regim ANL, care au acces la locuinţă prin îndeplinirea criteriilor cadru pentru stabilirea ordinii de prioritate în soluţionarea cererilor de locuinţă şi în repartizarea locuinţelor pentru tineri, destinate închirierii, s-a întocmit în funcţie de punctajul obţinut în ordinea crescătoare.
   
În cazul înregistrării punctajelor egale, departajarea s-a făcut astfel:       
- în funcţie de situaţia locativă (numărul de membri ai familiei titularului de cerere: soţ, soţie şi copii)
- în funcţie de vechimea cererii (data şi numărul înregistrării)
- în funcţie de satarea de sănătate.

   
Precizăm că, din lista de priorităţi vor primi repartiţie în anul 2011 un număr de 98 de solicitanţi la locuinţele construite prin Agenţia Naţională de Locuinţe situate pe amplasamentul din strada 1 Decembrie, cu menţiunea că lucrările privind utilităţile (apă, canalizare, gaz, electricitate) aferente acestor unităţi locative sunt în curs de execuţie.
   
În consecinţă, contractele de închiriere se vor încheia la data finalizării utilităţilor aferente. Se precizează, totodată că cei care nu au depus clarificările solicitate de către comisie până la data de 12.07.2011, nu au mai fost luată în considerare depunerea acestora după această dată, deoarece comisia şi-a încheiat activitatea la data menţionată, iar luare în considerare după această dată a documentelor solicitate pentru clarificari, ar fi afectat pe toţi cei au depus toate documentele conform adresei primite de fiecare solicitant, cu confirmare de primire, la termenul stabilit de comisie.
   
Contestaţiile cu privire la stabilirea accesului la locuinţe, precum şi la acordarea priorităţilor în soluţionarea cererilor se vor adresa primarului Municipiului Dorohoi, în termen de 7 zile de la afişarea listei privind ordinea de priorităţi a solicitanţilor de locuinţă în regim ANL pe anul 2011 precum şi a listei privind solicitanţii care nu au îndeplinit criteriilr de acces la locuinţă, liste aprobate prin Hotărârea Consilului Local în şedinţa ordinară din data de 28.07.2011.
   
Publicarea acestei hotărâri se va face prin mass-media, la avizierul din cadrul Primăriei Municipiului Dorohoi, din strada A.I. Cuza nr.41 precum şi pe site-ul Primăriei Municipiului Dorohoi, urmând ca eventualele contestaţii să fie soluţionate de către comisa de soluţionare a contestaţiilor, numită prin HCL nr.9 din data de 27.01.2011. (DorohoiNews.ro, Adriana D.)


Autor : DorohoiNews.ro

 

DorohoiNews.ro

DorohoiNews.ro

DorohoiNews.ro

DorohoiNews.ro




DorohoiNews.ro



GALERIE FOTO

anlanl2anl3anl4anl5
DorohoiNews.ro, 23-07-2011

Va rugam sa folositi un limbaj decent; mesajele postate vor fi validate de un Moderator inainte de a fi publicate pe site.

NOTA: Va rugam sa comentati la obiect, legat de continutul prezentat in material. Orice deviere in afara subiectului, folosirea de cuvinte obscene, atacuri la persoana autorului (autorilor) materialului, afisarea de anunturi publicitare, precum si jigniri, trivialitati, injurii aduse celorlalti cititori care au scris un comentariu se va sanctiona prin cenzurarea partiala a comentariului, stergerea integrala sau chiar interzicerea dreptului de a posta, prin blocarea IP-ului folosit.

Site-ul www.dorohoinews.ro nu raspunde pentru opiniile postate in rubrica de comentarii, responsabilitatea formularii acestora revine integral autorului comentariului.

Am fost informat(a) despre Politica de Confidențialitate şi de Securitate a prelucrării datelor cu caracter personal, declar ca am peste 16 ani și sunt de acord cu prelucrarea datelor cu caracter personal:
- pentru ofertare comerciala
- pentru activitati promotionale: concursuri, reclame, publicitate
Security Code

COMENTARII VIZITATORI

27.08.2011 la 17:22

la fel si eu sunt curioasa sa aflu cand se vor da in folosinta aceste locuinte?

31.07.2011 la 14:42

ne puteti spune mai exact cand se dau in folosinta aceste locuinte?

Publicitate



Panoramic Travel Botosani

BANCUL ZILEI !


DorohoiNews.ro


Profesoara: Copii, dați-mi exemplu de o pasăre zburătoare!
Alina: Condorul, doamna.
Profesoara: Bravo! Ce e tatăl tău?
Alina: Avocat!
Profesoara: Ați văzut, copii, un copil de avocat ce știe?
Gigel: Vulturul, doamna.
Profesoara: Bravo! Ce e tatăl tău?
Gigel: Om de afaceri!
Profesoara: Ați văzut, copii…
Ionel: Crocodilul, doamna.
Profesoara: Cum e posibil să spui așa o prostie, cum să zboare crocodilul? Ce e tatăl tău?
Ionel: Procuror DNA!
Profesoara: Copii, zboară și crocodilul. Mai jos, dar zboară și el!



DOROHOI NEWS - Primim la redacție

DorohoiNews.ro






PARTENERI - AJOFM BOTOSANI

DorohoiNews.ro


PUBLICITATE

DorohoiNews.ro

DorohoiNews.ro

DorohoiNews.ro

ZiareBotosani.ro

POLIȚIA LOCALĂ DOROHOI

DorohoiNews.ro

PARTENERI

DorohoiNews.ro

DorohoiNews.ro

Dorohoi News

DorohoiNews.ro DorohoiNews.ro DorohoiNews.ro

DorohoiNews.ro

DorohoiNews.ro


PUBLICITATE

DorohoiNews.ro

DorohoiNews.ro



UMANITAR

DorohoiNews.ro

Donatii online prin contul PAYPAL…



DorohoiNews.ro


DorohoiNews.ro


DorohoiNews.ro


DorohoiNews.ro



PUBLICITATE


DorohoiNews.ro

DorohoiNews.ro

Ecomed Dorohoi

DorohoiNews.ro

Ultimele anunturi

Fabrică de lactate angajează muncitori (femei)

Fabrică de lactate angajează muncitori (femei)
Fabrică de lactate din Pascari, comuna Șendriceni, angajează muncitori (femei). Relații la telefon: ...

SC din Dorohoi angajează muncitori calificați în construcție și mecanic auto

SC din Dorohoi angajează muncitori calificați în construcție și mecanic auto
Societate Comercială din Dorohoi angajează muncitori calificați în construcție și mecanic ...

SC angajează o persoană pentru vulcanizare

SC angajează o persoană pentru vulcanizare
Societate Comercială angajează o persoană pentru vulcanizare. Experiența în domeniu constituie ...

BAMBOO angajează supraveghetoare sală jocuri

BAMBOO angajează supraveghetoare sală jocuri
BAMBOO angajează supraveghetoare sală jocuri! Oferim și cerem seriozitate maximă! Salariul motivant, ...

Cu profundă tristețe, familia anunță trecerea în neființă a celei ce a fost învățătoarea Lionte Aurelia

Cu profundă tristețe, familia anunță trecerea în neființă a celei ce a fost învățătoarea Lionte Aurelia
Cu profundă durere, anunțăm trecerea în neființă a mamei și bunicii noastre, Lionte Aurelia. ...

Vând Peugeot 307 urgent

Vând Peugeot 307 urgent
Peugeot 307,1600 cmc, 2002 an fabricație, gri, cutie viteze automata

Vând bicicletă fitness

Vând bicicletă fitness
De vanzare bicicleta fitness, mai multe detalii la telefon 0773369687

Angajăm lucrător comercial - farmacie

Angajăm lucrător comercial - farmacie
Angajăm lucrător comercial - farmacie, minim diploma bacalaureat. Mai multe detalii la telefon: 0231610140 ...

Vând apartament cu două camere (Bulevardul Victoriei)

Vând apartament cu două camere (Bulevardul Victoriei)
Vând apartament cu 2 camere, etaj 3 din patru, la soare, între pereti, loc de parcare, zona ...

Vând centrală peleți Ferroli biopelet 21S

Vând centrală peleți Ferroli biopelet 21S
Vând centrală termică pe peleți Ferroli BioPellet 21S în perfectă stare de funcționare. ...

PARTENERI

DorohoiNews.ro


DorohoiNews.ro


DorohoiNews.ro


DorohoiNews.ro


DorohoiNews.ro

DorohoiNews.ro

DorohoiNews.ro

DorohoiNews.ro

DorohoiNews.ro