Daca sunteti martorul unor evenimente importante va rugam sa ne contactati la tel: 0749.877.802 sau email: [email protected]

ANL Dorohoi1

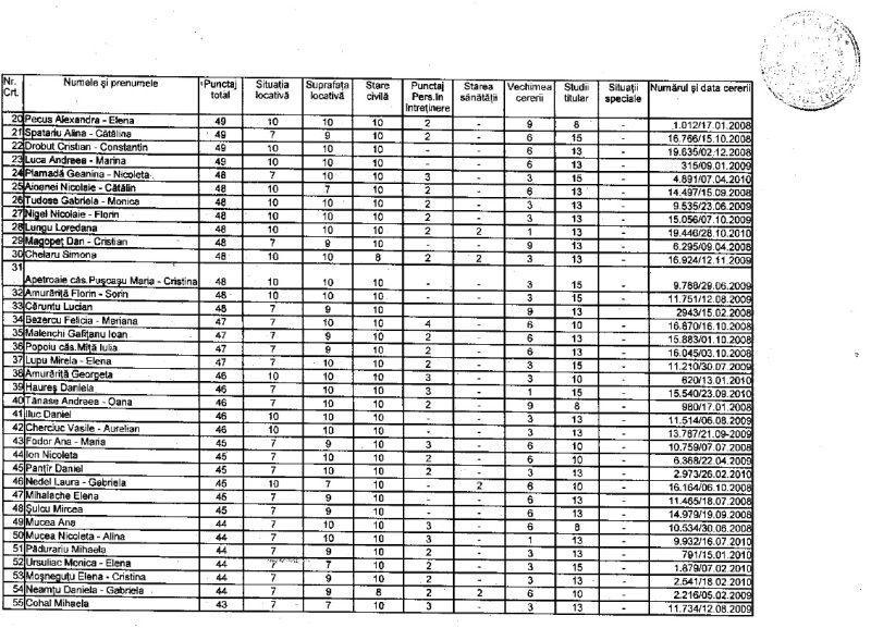
Consiliul Local al Municipiului Dorohoi, întrunit în ședința extraordinară din data de 5 decembrie, a hotărât aprobarea listei de repartizare a celor 96 de locuințe pentru tineri, construite în regim ANL în municipiul Dorohoi, în anul 2011, astfel:

·    70 de apartamente cu două camere de locuit
·    26 de apartamente cu o cameră de locuit (garsoniere) (DorohoiNews.ro, Andrei B.)

Autor: DorohoiNews.ro

Vezi lista, Click pe FOTO!

DorohoiNews.ro

DorohoiNews.ro

DorohoiNews.ro

DorohoiNews.ro




DorohoiNews.ro



GALERIE FOTO

ANL Dorohoi1lista1lista2lista3lista4lista5
DorohoiNews.ro, 07-12-2011
20Local

Va rugam sa folositi un limbaj decent; mesajele postate vor fi validate de un Moderator inainte de a fi publicate pe site.

NOTA: Va rugam sa comentati la obiect, legat de continutul prezentat in material. Orice deviere in afara subiectului, folosirea de cuvinte obscene, atacuri la persoana autorului (autorilor) materialului, afisarea de anunturi publicitare, precum si jigniri, trivialitati, injurii aduse celorlalti cititori care au scris un comentariu se va sanctiona prin cenzurarea partiala a comentariului, stergerea integrala sau chiar interzicerea dreptului de a posta, prin blocarea IP-ului folosit.

Site-ul www.dorohoinews.ro nu raspunde pentru opiniile postate in rubrica de comentarii, responsabilitatea formularii acestora revine integral autorului comentariului.

Am fost informat(a) despre Politica de Confidențialitate şi de Securitate a prelucrării datelor cu caracter personal, declar ca am peste 16 ani și sunt de acord cu prelucrarea datelor cu caracter personal:
- pentru ofertare comerciala
- pentru activitati promotionale: concursuri, reclame, publicitate
Security Code

COMENTARII VIZITATORI

11.12.2011 la 10:53

dL.PRIMAR ESTE DE-A DREPTUL STRIGATOR LA CER CA FAMILI,MAME DACA AU COPII SA PRIMEASCA APARTAMENT,IAR CEI CU BOALA GARSONIERA,ALTFEL FACETI MARE NEDREPTATE FITI ATENT CU CEI RAI CARE SAU DEZIS DE LA HOTARAREA PE CARE TOT EI AU DAT-O

10.12.2011 la 13:20

Din cauza lipsei de fonduri din vară nu s-a lucrat aproape deloc la aceste locuinţe şi acum se finalizează...Nu pot decât să-mi închipui ce lucrare de mântuială se realizează. Oare câte tavane vor cădea ?

09.12.2011 la 07:58

La lista de repartizare a locuintelor construite in regim ANL s-a tinut cont de numarul de persoane(respectandu-se norma locativa pe membru de familie),in ordinea punctajului obtinut aprobat prin HCL nr.188/22.09.2011., prioritate avand familiile cu copii, casatoriti cu boala, necasatoriti cu boala si copii, necasatoriti cu unul sau mai multi copii si casatoriti fara copii.

08.12.2011 la 21:24

Pai daca nici acum nu sa facut punctajul corect la al 3-lea dosar facut atunci...:))

08.12.2011 la 19:20

intodeauna vor exista nemultumiti si comentarii.

08.12.2011 la 17:56

Recomand Domnului Primar si distinsilor consilieri locali sa studieze propriul lor Regulament ANL -HCL 49/24.02.2011 si anume Anexa 12, pct. 16 unde se spune ca apartamentele vor fi atribuite familiilor cu copii iar garsonierele persoanelor/si familillor fara copii . Intre timp insa...Familiile cu copii nu vor primi nimic si smecherii de la garsoniere vor beneficia de apartamente...

08.12.2011 la 17:54

S-a ,,lucrat,, intens la listă așa că nu cred că se mai schimbă cevaDoar d-l primar decide modalitatea de acordare a locuințelor.

08.12.2011 la 16:32

Mi se pare normal ca repartitia sa se faca dupa punctajul obtinut de fiecare si in functie de numarul persoanelor. Altfel, de ce s-ar mai fi dus documente ca sa se faca departajare la punctaj???????

08.12.2011 la 15:15

multumim......

08.12.2011 la 13:31

baltei,andronache..si altii,de unde au stiut ei asa de repede ca se fac blocuri acolo??? cata hotie mama!!!!!!!!

08.12.2011 la 13:02

ce pretentii mai aveti saracilor!!! sa ziceti merci ca aveti si voi loc printre noi,bogatasii. am bani,imi aleg apartamentul,etajul,scara. doar se stie asta de cand lumea ca cei cu bani,au de ales. O zi buna!

08.12.2011 la 10:34

mos ENE, nici eu nu inteleg asta sunt curioasa cum se vor da, in ce mod

07.12.2011 la 22:12

trăiască ,,basca"

07.12.2011 la 21:43

nu inteleg ce cauta pe lista apartamentelor cu 2 camere , familii fara copii, regula era ca familiile cu copii sa primeasca apartament cu 2 camere si restul garsoniere...domnule primar incalcati legea locuintei atribuind spatiu excedentar familiilor fara copii, de ce oare ?

07.12.2011 la 20:24

la alte repartitii ANL s-a tinut cont de punctaj ,in functie de acesta fiecare alege ce doreste din ce a ramas nerepartizat

07.12.2011 la 19:43

Sa nu cada tavanul pe voi!

07.12.2011 la 19:41

nu sa facut dreptate

07.12.2011 la 19:17

probabil ca se va trage la sort, doar nu crezi ca daca esti prima iti da unde vrei tu apartament

07.12.2011 la 15:32

Cand ,in ce data se vor face repartizarile ? Si dupa ce criterii se v-a tine cont la repartizare (scara ,etaj )

07.12.2011 la 15:10

Sa le stapaniti sanatosi!

Publicitate



Panoramic Travel Botosani

BANCUL ZILEI !


DorohoiNews.ro


- Dați-mi și mie două pahare cu vin!
Fata de la bar întreabă:
- La 2 lei?
- Nu... uitându-se către prietenul său... La doi bețivani!!



DOROHOI NEWS - Primim la redacție

DorohoiNews.ro






PARTENERI - AJOFM BOTOSANI

DorohoiNews.ro


PUBLICITATE

DorohoiNews.ro

DorohoiNews.ro

DorohoiNews.ro

ZiareBotosani.ro

POLIȚIA LOCALĂ DOROHOI

DorohoiNews.ro

PARTENERI

DorohoiNews.ro

DorohoiNews.ro

Dorohoi News

DorohoiNews.ro DorohoiNews.ro DorohoiNews.ro

DorohoiNews.ro

DorohoiNews.ro


PUBLICITATE

DorohoiNews.ro

DorohoiNews.ro



UMANITAR

DorohoiNews.ro

Donatii online prin contul PAYPAL…



DorohoiNews.ro


DorohoiNews.ro


DorohoiNews.ro


DorohoiNews.ro



PUBLICITATE


DorohoiNews.ro

DorohoiNews.ro

Ecomed Dorohoi

DorohoiNews.ro

Ultimele anunturi

SC din Dorohoi angajează muncitori calificați în construcție și mecanic auto

SC din Dorohoi angajează muncitori calificați în construcție și mecanic auto
Societate Comercială din Dorohoi angajează muncitori calificați în construcție și mecanic ...

Vând garsonieră la bazar, fața la soare

Vând garsonieră la bazar, fața la soare
Vand garsoniera pe strada Zadurovici, nr. 2, etaj III, ap.40, cu fata spre bazar, Garsoniera nua are ...

Sincere condoleanțe din partea colegilor biroului economic al S.C. Conted S.A!

Sincere condoleanțe din partea colegilor biroului economic al S.C. Conted S.A!
Biroului economic al S.C. Conted S.A. este alături de colega lor Bulmagă Daniela în aceste momente ...

Caut de lucru...

Caut de lucru...
Numărul meu de tel. 0748944498. Caut de lucru: pot face cumpărături, pot duce copilul la școală ...

Ofer spre închiriere garsonieră în zona centrală

Ofer spre închiriere garsonieră în zona centrală
Ofer spre închiriere garsonieră în zona centrală a orașului Dorohoi, pe perioadă îndelungată. ...

SC angajează persoană cu experiență în achiziții și relații de parteneriat cu producători și furnizori

SC angajează persoană cu experiență în achiziții și relații de parteneriat cu producători și furnizori
Societate Comercială din Dorohoi angajează persoană cu experiență în achiziții și relații ...

Vând teren intravilan, zona Viilor

Vând teren intravilan, zona Viilor
Vând teren intravilan,1900 mp, situat pe str. Viilor. Zona dispune de toate utilitățile (electicitate, ...

Ofer spre închiriere o cameră

Ofer spre închiriere o cameră
Primesc o persoană în gazdă. Relații la telefon: 0756390674

Conducerea societății și întregul colectiv al SC CONTED SA Dorohoi transmit condoleanțe familiei îndoliate

Conducerea societății și întregul colectiv al SC CONTED SA Dorohoi transmit condoleanțe familiei îndoliate
Cu inimile îndurerate, Consiliul de Administrație, conducerea societății și întregul ...

Vând Ford Mondeo 2015 2.0 Diesel 180 cai

Vând Ford Mondeo 2015 2.0 Diesel 180 cai
Vând Ford Mondeo mk5 2.0 Diesel 180 cai Euro 6 Decembrie 2015 Cutie de viteze automată Faruri ...

PARTENERI

DorohoiNews.ro


DorohoiNews.ro


DorohoiNews.ro


DorohoiNews.ro


DorohoiNews.ro

DorohoiNews.ro

DorohoiNews.ro

DorohoiNews.ro

DorohoiNews.ro